
Герман Людвиг Фердинанд Гельмгольц (31.VIII.1821-8.IX.1894) - немецкий физик, математик, физиолог и психолог, положивший начало акустике. Он построил модель уха, позволившую изучить характер воздействия звуковых волн на орган слуха, решил задачу органной трубы, провел исследования колебания струн и акустических резонаторов. Помимо этого, Гельмгольц занимался проблемами электродинамики. Он создал колебательный контур - основу радиосвязи, под его влиянием Г. Герц провел исследования, приведшие к обнаружению электромагнитных волн.
Явление резонанса оказывает влияние на все колебательные процессы - механические, электрические, звуковые. Акустика - одна из таких прикладных дисциплин, где влияние резонанса особенно ощутимо. С нежелательными резонансами приходиться бороться, полезные нужно использовать. Динамические головки, используемые в системах воспроизведения звука - пример механической колебательной системы, работающей с заходом в область резонанса.
Кроме механических колебательных систем, в электроакустических преобразователях широко используются акустические колебательные системы, в которых отдельные элементы представляют собой газообразную среду. Акустические колебательные системы используются в виде полостей, каналов, объемных резонаторов, которые в сочетании могут образовывать сложные устройства, по своему действию аналогичные резонансным контурам, фильтрам и т.д. С их помощью можно выделять или подавлять определенные участки звукового диапазона частот.
Поведение механических колебательных систем обычно рассматривают на примере грузика на пружинке. Эту же модель часто используют и при анализе работы акустических систем - удобно и наглядно.

Примером простейшей акустической колебательной системы является резонатор Гельмгольца. Он представляет собой сосуд сферической формы с открытой горловиной. Воздух в горловине является колеблющейся массой, а объем воздуха в сосуде играет роль упругого элемента. Разумеется, такое разделение справедливо лишь приближенно, так как некоторая часть воздуха в полости обладает инерционным сопротивлением. Однако при достаточно большой величине отношения площади отверстия к площади сечения полости точность такого приближения вполне удовлетворительна. Основная часть кинетической энергии колебаний оказывается сосредоточенной в горле резонатора, где колебательная скорость частиц воздуха имеет наибольшую величину.
Строго говоря, резонатор представляет собой систему с распределенными параметрами. Однако если размеры резонатора малы по сравнению с длиной волны действующих на резонатор колебаний, то практически можно рассматривать такую систему, как систему с сосредоточенными параметрами. Собственная частота резонатора Гельмгольца равна:

где
F - частота, Гц;
C0 - скорость звука в воздухе (340 м/с);
S - сечение отверстия, м2;
L - длина отверстия, м;
V - объем резонатора, м3.
Например, для сосуда объемом 1 л с горловиной длиной 1 см и сечением 1 см2 частота резонанса составит примерно 170 Гц. Обратите внимание, что длина волны для этой частоты составляет около 2 м, что значительно больше характерных размеров резонатора. Следовательно, не может быть и речи о стоячей акустической волне в самом резонаторе. Действительно, в полости можно возбудить только волны, длина которых меньше характерного размера резонатора:

Для данного примера это частоты выше 3 кГц.
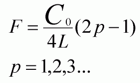
Другой вариант резонатора - органная труба. Стоячие волны в таком резонаторе возможны лишь для тех случаев, когда на длине трубы укладывается нечетное число четвертей длин волн. Соответственно, резонансные частоты будут равны:

Хотя резонансных частот несколько, однако, сильнее всех выражена первая мода колебаний. Этому случаю

соответствует четвертьволновый резонатор длиной:
Для частоты настройки 27 Гц длина трубы составит примерно 3,1 м. Неудивительно, что церковные органы имеют колоссальные размеры. Однако пора от теории перейти к практике.
Как уже отмечалось в начале статьи, акустические резонаторы можно использовать для усиления или ослабления определенного диапазона звуковых частот. Самый наглядный пример акустического "усилителя" - фазоинвертор акустической системы, представляющий собой все тот же резонатор Гельмгольца, возбуждаемый "изнутри". Если резонатор Гельмгольца возбуждать снаружи, он становится режекторным (подавляющим) фильтром, поглощающим энергию внешних колебаний. Глубину режекции можно увеличить, увеличив потери в горле резонатора при помощи звукопоглощающего материала.

В акустических системах первой отечественной стереофонической радиолы "Симфония" в качестве низкодобротного двухчастотного режекторного фильтра использовался резонатор Гельмгольца. Он представлял собой отдельный объем в нижней части корпуса с двумя отверстиями диаметрами 23 и 31 мм в горизонтальной перегородке. Частоты настройки составляли 50 и 100 Гц. Фильтр предназначался для частичного подавления 1-й и 2-й гармоник сетевой частоты лампового усилительного тракта, а также устранял неизбежный "горб" на АЧХ в области 60-80 Гц, характерный для обычных в то время высокодобротных динамиков (Qts~1).
Кстати, и сегодня этот путь можно считать очень перспективным для использования высокодобротных динамических головок в корпусах небольшого объема. Это позволяет сохранить высокую чувствительность акустической системы и получить при этом гладкую АЧХ, что актуально именно для car audio. Методика расчета предельно проста. Сначала рассчитываем или измеряем частоту резонанса головки в корпусе заданного объема, затем рассчитываем на эту частоту резонатор Гельмгольца.
В конструкции современных акустических систем, однако, резонатор Гельмгольца используется крайне редко.

Динамические головки низкой добротности и высокая мощность усилителей позволяют обойтись без этих ухищрений. Все же несколько примеров удалось найти.
Профессиональный сабвуфер DYNACORD Alpha B-3 использует запатентованную технологию Planar WaveguideTM - плоский волновод со встроенным резонатором Гельмгольца. Благодаря взаимодействию резонанса волновода и резонатора Гельмгольца получен высокий уровень звукового давления на низких частотах.
Аналогичную конструкцию имеет автомобильный сабвуфер Pioneer TS-WX30. При объеме корпуса всего 5 литров его чувствительность достигает 100 дБ, но, правда, Гельмгольц здесь ни при чем. В данном случае режекторный фильтр в основном предназначен для подавления струйных шумов фазоинвертора. Резонатор Гельмгольца иногда используют при акустической обработке салонов автомобилей для подавления низкочастотных объемных резонансов салона. Однако данный конструктивный прием труднореализуем на практике ввиду существенных габаритов резонаторной батареи, проблем ее компоновки, уменьшения полезного объема багажного отделения и т.п. С ростом частоты настройки габариты резонаторов существенно уменьшаются, поэтому в области средних частот они используются заметно чаще. Акустические резонаторы - "голосовики" использовали много столетий назад при строительстве соборов и театров.

И сегодня четвертьволновые резонаторы, и резонаторы Гельмгольца успешно используются в качестве элементов акустических студий и концертных залов.
Немало примеров можно найти и других областях. Система впуска современного двигателя легкового автомобиля оборудуется устройствами шумопоглощения. Это или резонаторы Гельмгольца "в чистом виде", подключенные параллельно к участкам впускного трубопровода, или семейство горлышек, образованное отверстиями перфорации трубопровода и охваченное герметичным кожухом. Также используют четвертьволновые резонаторы в виде тупиковых трубчатых отростков с жестким донышком, подключаемых к участкам трубопровода.
В патенте Германии № 4033269 описан глушитель выхлопа ДВС с перестраиваемым резонатором Гельмгольца. Частота настройки такого режекторного фильтра изменяется в зависимости от оборотов двигателя специальной следящей системой.
Кстати, череп, как и любая замкнутая полость с отверстием, тоже является резонатором Гельмгольца. По некоторым данным, резонансной областью для черепа являются частоты 20-25 Гц.
Как известно, облучение человека звуковыми колебаниями частотой 25 Гц в течение 30 минут при определенной интенсивности источника вызывает эпилептический припадок… Так что поаккуратнее с сабвуферами!